本文转自“梅斯医学”公众号
大量流行病学研究提示,甘油三酯(TG)的升高与动脉粥样硬化心血管疾病(ASCVD)风险增加有关。降低甘油三酯的药物主要包括烟酸类药物、贝特类药物及高纯度ω 3多不饱和脂肪酸(ω 3脂肪酸),其中ω 3脂肪酸主要包括二十碳五烯酸(EPA)和/或二十二碳六烯酸(DHA)。目前将ω 3脂肪酸制剂分为非处方鱼油产品和处方ω 3脂肪酸产品,非处方鱼油产品属于膳食补充剂,不能替代处方ω 3脂肪酸产品。
二十碳五烯酸乙酯(IPE)为乙酯化的EPA。目前市面上有三种处方ω 3脂肪酸产品,分别为ω 3脂肪酸乙酸、IPE和ω 3羧酸。IPE降低心血管事件干预试验(REDUCE-IT)显示,对于合并心血管疾病或心血管疾病风险升高、在他汀类药物治疗下甘油三酯水平仍旧升高的患者,在他汀类药物基础上联合高纯度IPE可显著降低ASCVD风险。但目前尚不明确对于接受他汀类治疗后低密度脂蛋白胆固醇(LDL-C,俗称“坏胆固醇”)水平控制极佳的患者,使用IPE是否有助于减少心血管事件的发生。
近日,《美国心脏协会杂志》(JAHA)发表REDUCE-IT试验二次分析结果,表明在甘油三酯较高水平和心血管风险较高、使用他汀类药物治疗的患者中,无论基线LDL-C水平如何,使用IPE均可降低心血管事件的发生率。即使是使用他汀类药物将LDL-C水平控制极好(<55 mg/dl),但心血管风险升高的患者,也可考虑使用IPE来预防心血管事件的发生。

截图来源:JAHA
REDUCE-IT试验是一项双盲、随机、安慰剂对照试验,纳入全球11个国家的473家医学中心8179例患者随机接受IPE(2 g,每日两次)或安慰剂治疗。所有患者均符合:1)年龄≥45岁且罹患有心血管疾病,或年龄≥50岁且患有糖尿病和至少1项心血管风险因素;2)自愿选择接受他汀类药物治疗至少4周;3)基线甘油三酯水平在135~499 mg/dl(轻度升高)、LDL-C在41~100 mg/dl(控制良好或轻度升高)。
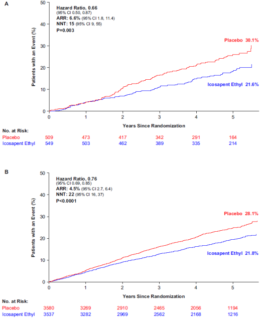
主要结局分析中,研究人员根据患者基线LDL-C水平进行分层,即<55 mg/dl和≥55 mg/dl(分层依据参考欧洲心脏病学会指南建议心血管疾病患者LDL-C目标<55 mg/dl)。所有患者中(研究中4例患者缺少基线LDL-C数据,最终8174例纳入分析),基线LDL-C≥55 mg/dl的患者为7117例,中位年龄64岁、29.4%为女性、71.0%有心血管疾病史、中位甘油三酯215.5 mg/dl、中位LDL-C为78 mg/dl;基线LDL-C<55 mg/dl的患者为1058例,中位年龄64岁、25.0%为女性、68.6%有心血管疾病史、中位甘油三酯228.0 mg/dl、中位LDL-C为47.5 mg/dl。
研究主要结局为主要复合心血管事件发生率,即心血管疾病死亡、非致死性心梗、非致死性卒中、冠状动脉血运重建或不稳定型心绞痛复合事件发生率。研究结果显示,无论是在整体人群中,还是不同LDL-C水平的人群,相比于安慰剂组,接受IPE治疗的患者主要复合心血管事件发生率均更低,具体来说:
整体人群:相比于安慰剂组,IPE治疗组患者主要复合心血管事件发生风险降低了25%(17.2% vs. 22%,HR=0.75,95%CI:0.68~0.83,P<0.0001);
基线LDL-C<55 mg/dl:相比于安慰剂组,IPE治疗组患者主要复合心血管事件发生风险降低了34%(16.2% vs. 22.8%,HR=0.66,95%CI:0.50~0.87,P=0.003);
基线LDL-C≥55 mg/dl:相比于安慰剂组,IPE治疗组患者主要复合心血管事件发生风险降低了24%(17.4% vs. 21.9%,HR=0.76,95%CI:0.69~0.85,P<0.0001)。

▲基线时LDL-C<55 mg/dl(图A)和LDL-C≥55 mg/dl(图B)患者主要复合心血管事件累积发生率对比(图片来源:参考文献[1])
次要终点方面,无论是关键次要复合终点(包含心血管疾病死亡、非致死性心梗或非致死性卒中),还是主要复合心血管事件的单个指标,相比于安慰剂组,IPE治疗组各指标的发生率均更低。
此外,由于当前不同国家指南对于心血管疾病患者的LDL-C目标水平建议并不一致,因此在敏感性分析中,研究人员调整LDL-C水平分层阈值为<70 mg/dl和≥70 mg/dl(分层依据参考美国心脏病学会和美国心脏协会的血脂指南建议)。结果显示,在较高LDL-C阈值条件下,相比于安慰剂组,LDL-C<70 mg/dl和≥70 mg/dl组中接受IPE治疗的患者,主要复合心血管事件发生风险分别降低30%(HR=0.70,95%CI:0.60~0.83,P<0.0001)和21%(HR=0.79,95%CI:0.69~0.89,P=0.0002)。
安全性方面,安慰剂组和IPE治疗组严重不良事件发生率相似(19.7% vs. 12.6%,P=0.61),IPE治疗组房颤/房扑发生率更高(5.8% vs. 4.5%,P=0.008),严重出血率有所增加(2.7% vs. 2.1%,P=0.06),但两组严重出血率绝对差异较小。整体而言,使用IPE是安全的,但临床医生在用药时需考虑到可能出现的不良反应。
总之,本次研究结果显示,无论基线LDL-C水平如何,对于使用他汀类药物治疗的甘油三酯水平升高和心血管风险较高患者,使用IPE均可降低心血管事件发生率。基线LDL-C水平≥55 mg/dl与基线LDL-C水平<55 mg/dl使用IPE获益相似。文章指出,过往大多数预防心血管事件的血脂管理,多集中于降低LDL-C水平,本次研究发现,对于甘油三酯水平升高和心血管风险较高的患者,使用IPE可进一步改善心血管结局,即使是已使用他汀类药物将LDL-C水平控制极佳的患者,也能从中受益。
参考资料:
[1]Aggarwal R, Bhatt DL, Steg PG, et al. Cardiovascular Outcomes With Icosapent Ethyl by Baseline Low-Density Lipoprotein Cholesterol: A Secondary Analysis of the REDUCE-IT Randomized Trial. J Am Heart Assoc. 2025 Feb 19:e038656. doi: 10.1161/JAHA.124.038656.