本文转自“梅斯医学”公众号
心率是指心脏每分钟跳动的次数,通常用每分钟的心跳次数(BPM)来衡量。它是心脏功能的一个重要指标,能够反映出心脏和循环系统的工作情况。静息状态下,成年人正常的心率范围一般在60到100次/分钟。
心率不仅仅是心脏跳动的简单数字,它直接反映了身体健康状况的许多方面,例如:
静息心率较低通常表明心脏功能良好,能够更有效地泵血,意味着心脏不需要快速跳动就能满足身体的需求。相反,静息心率过高可能表明心脏承受了额外的压力,可能预示着心血管疾病的风险;
当人体运动时,心率就会随之升高,用以供给肌肉更多氧气。众所周知,定期锻炼可以降低静息心率,这也是因为锻炼可以增强心脏的功能,使它每次跳动能够泵出更多的血液,举个例子,就好像一个能力素质较高的人,其工作会更有效率,对于心脏而言,就是能在更少的跳动次数下满足更多的机体需求。所以通常情况下,运动员由于心脏功能更强,静息心率会普遍更低。
此外,心率也会对情绪和心理状态做出反应。例如,当人感到紧张、焦虑或害怕时,心率会加快。这是因为身体进入了“战斗或逃跑”模式,准备应对潜在的危险。因此,长期的高压力状态可能导致心率长期升高,增加心脏病的风险。

心率的快慢除了能够衡量心脏功能、运动功能和情绪,还是衰老的重要指标。2024年8月29日,一项题为“Association between change in heart rate over years and life span in the Paris Prospective 1, the Whitehall 1, and Framingham studies”的研究论文发表在国际期刊《scientific reports》上,研究者在深入研究衰老的过程中发现,心率较快的个体在30年的随访期间死亡率更高,5年内静息心率增加与死亡风险在统计学上存在显著关联。
研究使用了三个不同国家的人口基础队列数据:法国的Paris Prospective Study I、英国的Whitehall I study和美国的Framingham Heart Study。研究使用了线性回归和Cox比例风险回归模型来分析数据。
在法国的数据中,作者研究了7976名健康法国男性,年龄在42至53岁之间,从1967年到1972年招募,至1993年12月31日,共记录了2387例死亡。研究发现静息心率与寿命之间存在反比关系,即较低的心率对应着更长的寿命。并且,5年内静息心率每增加10次/分钟,死亡风险比值(HR)为1.20(95%置信区间:1.13-1.27),这意味着他们的死亡风险相较于基线增加了20%!

图一:巴黎队列数据中男性静息心率(研究基线)与寿命的关系,图片来源自[1]
在英国队列数据分析中,作者研究了1226名健康英国男性,年龄在52±7岁,从1967年到1969年招募,至2008年最后随访时,有977人死亡。与法国的数据类似,无论是未调整模型还是调整模型,都观察到了静息心率与寿命之间的负相关关系。

图二:英国队列数据中男性静息心率(研究基线)与寿命的关系,图片来源自[1]
在美国的数据分析中,作者将研究扩展到了女性。参与者从1971年到1975年招募,包括4001名美国女性,年龄在47±16岁之间,平均随访32.8年,共2409例死亡;3299名男性,年龄在45±15岁之间,平均随访30.9年,共2172例死亡。不仅是男性,作者在两种性别的参与者中都观察到了静息心率与寿命之间的负相关关系。
并且,研究结果显示:男性8年内静息心率每增加10次/分钟,死亡风险比值为1.13(95%置信区间:1.07-1.19),女性则为1.09(95%置信区间:1.04-1.15)。由此可见,无论男女,静息心率的长期增加皆与更高的死亡风险显著相关。

图三:美国研究队列中3299名男性(a)和4001名女性(b)的静息心率与寿命之间的关系,图片来源自[1]
综上,这项来自三个国家的研究结果揭示了静息心率与寿命之间的负相关关系,也提示我们,心率是一项评估个体健康和寿命的重要指标。
那除了国外的研究数据,有没有我国的呢?
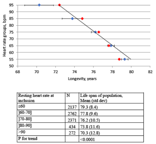
自然是有!一项发表在《中华预防医学杂志》,题为“中国80岁及以上高龄老人静息心率与全因死亡风险的前瞻性队列研究”的文章中,研究人员就对中国老人的静息心率进行了分析研究,结果也显示:高龄老人全因死亡的发生风险随静息心率次数的增加而上升,且在80~89岁老年人群中相对显著。

这项研究的数据来源于中国老年健康影响因素跟踪调查(CLHLS),这是一项覆盖全国约85%人口的大规模纵向研究。研究选取了17,886位年龄在80岁及以上的老年人作为对象,通过基线调查收集了他们的静息心率、生存状况和死亡时间等数据。利用Cox比例风险模型来评估静息心率与死亡风险之间的联系,并进一步分析了年龄、性别与静息心率之间的相互作用。

表一:不同年龄人群静息心率对死亡影响因素的多因素Cox回归分析,图片来源自[2]
研究表明,在80至89岁以及90至99岁的老年人群中,与静息心率处于60到69次/分钟的老年人相比,那些静息心率在70到79次/分钟、80到89次/分钟以及90到99次/分钟的老年人具有更高的全因死亡风险。研究还发现,静息心率与年龄之间存在交互作用,即高龄老人的全因死亡风险会随着静息心率的增加而上升。即使在考虑了人口统计学特征、生活方式、身体机能状态以及慢性病患病情况等因素后,这一关联依然显著。
小结
综上所述,静息心率不仅是心脏健康的一个关键指标,更是个体整体健康状况乃至寿命长短的一个重要信号。从法国、英国、美国,到我国高龄老人的长期追踪研究,数据一致地揭示了静息心率与死亡风险之间的负相关关系。这些研究不仅为我们提供了重要的科学依据,也为我们日常健康管理提供了宝贵的指导意义。
这也提示我们,静息心率的高低或直接影响着我们生命的长度与质量。对于那些心率偏高的个体,尤其是老年人群,定期监测心率变化,并采取合理的干预措施,如适量的体育锻炼、健康的生活习惯以及必要的医疗干预,都是延缓衰老进程、降低死亡风险的有效途径!
参考文献:
1. Gaye, B., Valentin, E., Xanthakis, V. et al. Association between change in heart rate over years and life span in the Paris Prospective 1, the Whitehall 1, and Framingham studies. Sci Rep 14, 20052 (2024). //doi.org/10.1038/s41598-024-70806-8
2. Cheng, X et al. Zhonghua yu fang yi xue za zhi [Chinese journal of preventive medicine] vol. 55,1 (2021): 53-59. doi:10.3760/cma.j.cn112150-20200629-00944